陳榮煉恐遭關20年以上!留給安以軒「15億+巨額債務」 陸網傻眼:被坑了?
女星安以軒2017年和澳門勵駿總裁陳榮煉結婚,看似家庭生活幸福美滿,今年1月陳榮煉卻爆出非法洗錢,遭澳門警方逮捕,安以軒至今未發聲,卻已經移掉微博上所有和老公的合照,如今有網友爆料,陳榮煉早在出事前就已經規劃好,留給安以軒15億和一堆債務。
《華燈》何思靜首度挑戰大螢幕!吳宥安《機智》首嚐走紅滋味 吃喜酒被認出成拍照會
在今年金鐘入圍大熱門《華燈初上》中,飾演少女版蘇媽媽的潛力新秀何思靜,因出演票房8千萬純愛電影《我吃了那男孩一整年的早餐》,和男主角周興哲(Eric)結緣,也被周興哲所屬的「星空飛騰國際娛樂」相中,力邀加盟成為同門小師妹,她星運看好,入選本屆台北電影節「非常新人」單元,拍攝時尚大片並獲強力宣傳,備受矚目,何思靜好事成雙,正以電影「處女作」《藏匿處》強勢回歸,原來《藏匿處》才是她初試啼聲的第一部作品,只不過較晚上檔,反而落在她一戰成名的《華燈》和《早餐》之後。
《About Youth》結局親不停!黃信赫霸氣吻教訓 沈駿哽咽感謝粉絲被「抱緊處理」
bilibili海外聯合出品BL劇《About Youth 默默的我,不默默的我們》本週播出大結局,討論熱度持續高漲,在平台衝出好成績,已累積超過八十五萬播放,不僅戲劇受矚目,主演群李振浩、沈駿、黃信赫、徐碩廷人氣也爆棚,IG追蹤數翻倍成長,平均激增超過一萬粉絲追蹤。
《全明星4》EP9:黃宏軒遭點名「不冷靜就換掉你」!錢薇娟爆哭:給你們太大負擔
人氣綜藝《全明星運動會》第四季開播以來備受關注,最新一集由藍隊、黃隊在排球、匹克球以及躲避球項目一決勝負,而藍隊目前僅有2座獎盃,是三隊中成績墊底的團隊,黃隊則以8座獎盃領跑,藍隊這週是否能逆轉局勢也成為一大看點!
桂綸鎂20歲演到40歲毫無違和感!石頭預告「激烈戲」 觀眾腦洞大開超期待
Disney+ 旗艦華語劇《台北女子圖鑑》今(20)日舉行上線發布記者會,「小鎂」桂綸鎂率領台南幫成員:王柏傑、夏于喬和「宇宙」林思宇出席,與她同台的還有劇中的霸道總裁男友鳳小岳,加上職場心靈導師陸明君,大家異口同聲讚賞小鎂的凝聚力。
茄子蛋阿斌「嚴重失聲」全面停工爆解散傳聞!演出全靠吃藥苦撐 經紀公司回應了
樂團茄子蛋以〈浪子回頭〉打開知名度,嘶吼唱腔的台式情歌獲得不少人的喜愛,不過近期卻鮮少公開表演,而主唱阿斌日前也趁著32歲生日透露自己「聲帶受傷失聲」,甚至有長達一年的時間需要不斷吃藥才能上台表演,最後只好停工,不料卻又爆出團體解散的消息,引發各界關注,經紀公司也針對此事出面回應了!
【EV扑克】艺高人胆大的hero call:用一对2和10嗨抓鸡,惊险刺激
盲注级别为20w/40w/40w,按钮位的Fahredin Mustafov用10♥8♣加注到80w,Patrik Antonius用J♥2♥跟注。
【EV扑克】如何在5分钟内分析完自己打过的一手牌?
高手跟菜鸟不同,高手打完一个时段的游戏后,他们会回顾自己打过的牌局,会全盘分析每一个决策点,尽力去消除自己打法中的漏洞。高手一旦发现一个漏洞,他们就会想方设法修复这个打法上的漏洞,以防下一次再出现类似的错误。
【EV扑克】传奇塞浦路斯:Pieter Aerts夺得#3冠军,拿走系列赛首个7位数奖金
很高兴能举办女士限定的专属比赛,我们将不懈努力,确保这项赛事的完整性,“WSOP公共关系主管Paul Burke说。”接触各种不同的扑克玩家对我们来说一直很重要,我们希望在未来能继续朝这个方向发展!”
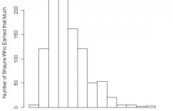
【EV扑克】几组数据看清线上MTT职牌真实生存现状!
不过这种好言相劝没有数据支持也只是空口无凭,所以在征得Shaun “SFD” Deeb同意后,我从数据网站调取了他过去两年的成绩,主要研究买入55刀—216刀报名数至少181人次的无限德扑赛事,由于网站不统计重买数据,所以我也移除掉了重买的比赛,而过滤后的赛事总共还剩3049场,得出的结果是:平均买入119.72刀,Shaun Deeb收益294,027刀,ROI高达81%,入圈率11.5%,。






